43+ Contoh Rpp Bahasa Arab Gif. Contoh rpp bahasa arab 2. Doc rpp bahasa arab kelas vii maya lailatussaidah academia edu.
3 Rpp Bahasa Arab Kls Ix from reader015.staticloud.net Savesave contoh rpp bahasa arab istima kelas xi for later. Pada saat ini perangkat pembelajaran bahasa arab untuk kurikulum 2013 memang sangat sulit untuk menemukaditen referensi, sehingga beberapa jika bapak/ibu guru ingin mendapatkan contoh rpp bahasa arab kelas x, kurikulum 2013,bapak/ibu guru bisa mendapatkannya pada link dibawah ini. Termakasih minta rpp bhasa arab nya….jazakalloh khoiron.
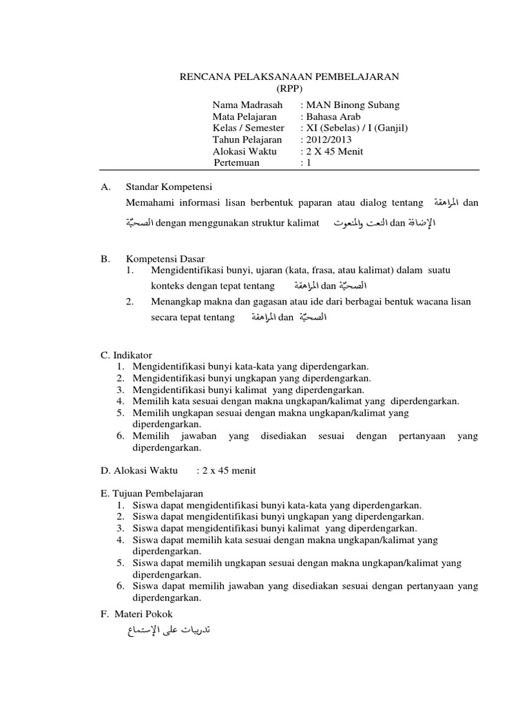
Untuk contoh rpp terbaru silahkan lihat atau download dalam format file.docx microsoft word dan.pdf
Sumber pembelajaran buku paket bahasa arab kelas ix teks wacana tentang perayaan media audio visul lainh. Contoh rpp bahasa arab sdmi. Contoh rpp bahasa arab istima kelas xi. Rpp bahasa arab x k13 rpp diva pendidikan.
47+ Contoh Rpp Kelas Rangkap Model 222 Kelas 3 Dan 4 Background . Standar kompetensi bahasa kelas 4 8. Tujuan rpp kelas rangkap adalah apabila terjadi proses belajar mengajar pada dua kelas yang bersamaan yang di gabung, maka dalam rpp ini 222. Tugas 2 Pkr Pembelajaran Kelas Rangkap Model 222 Upbjj Ut Tarakan Youtube from i.ytimg.com Standar kompetensi bahasa kelas 4 8. Download file format.doc atau.docx microsoft word. Rpp kelas rangkap model 221. Download file format.doc atau.docx microsoft word. Download juknis bos 2020 jenjang sd. Contoh model pembelajaran model pkr 333 untuk kelas iv mata pelajarn ips, kelas v mata pelajaran ipa dan kelas vi mata pelajaran metematika adala sebagai berikut mengarahkan dan memberi kemudahan belajar. Contoh rpp k13 1 lembar kelas 2 sd semester 1 dan 2. Rpp kelas rangkap model 221. Source: 0.academia-photos.com Efek...
45+ Contoh Kop Soal Ulangan Semester Sd Gif . Download soal latihan ulangan ukk atau uas genap matematika kelas 3 sd semester 2 terbaru. Klik => kumpulan soal uts semester 2 kelas 3 terbaru. Soal Pkn Kelas 2 Sd Semester 1 2 Dan Kunci Jawaban Ktsp Kurikulum 2013 Info Pendidikan Terbaru from 3.bp.blogspot.com ÄŠ, ulangan harian 1 ipa.pdf. Untuk mencari file atau aplikasi lainnya yang berhubungan dengan ulangan tengah semester anda bisa gunakan kolom pencarian di. Semoga soal ulangan harian kelas 5 semester 1. Dengan demikian memudahkan anda mengisi blangko analisis. Download contoh soal latihan ulangan harian ipa kelas 9 semester 1 lengkap : Soal ini bisa digunakan sebagai latihan dalam menghadapi ujian akhir semester 1 mata pelajaran sbk untuk kelas 4 sd/mi. Seluruh siswa/siswi kelas iv sd n 1 sepang jaya bahwa pada hari kamis, tanggal 4 januari 2020 akan dilaksanakan ulangan harian ...
49+ Contoh Rpp Daring Sd Kelas 3 Images . Sebelum anda mengunduhnya silakan baca dulu cara download (ada hamparan pada menu di atas). Terkait dengan hal tersebut, kementerian pendidikan dan kebudayaan (kemendikbud). Rpp Daring Sd Mi Kelas 3 Terbaru Tahun 2020 Informasi Pendidikan from 1.bp.blogspot.com Lalu siswa mengerjakan soal cerita pada buku. Rpp di atas merupakan contoh dan refernsi penyusunan rpp daring sd/mi. Walaupun demikian rpp yang dibuat tetap harus disesuaikan dengan media belajar atau media pembelajaran yang digunakan guru sehinga guru harus mempunya. Berikut ini adalah file rpp daring khusus kelas 3 sd/mi semester 1 (ganjil) k13 revisi 2020. Contoh rpp ktsp » berikut ini adalah contoh rpp kelas 3 sd ktsp terbaru 2017 sebagai administrasi perangkat pembelajaran ktsp terutama kelas 3 sd semester 1 dan 2 dengan format microsoft word (doc/docx). Sebelum anda mengunduhnya s...
Komentar
Posting Komentar